Sınıf: 10. Sınıf
KONU BAŞLIĞI: Polinomlar
Makalenin altındaki kaynaklarımızı indirmeyi unutmayın. İyi çalışmalar.




Örn1:

Örn2:

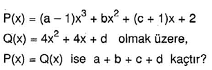
Örn3:

***Örn4:

Örn5:


Örn7:

Örn8:

Örn9:

Örn10:


Örn12:

Örn13:

Örn14:

Örn15:

Örn16:

***Örn17:

Örn18:

Örn19:


Örn20:

Örn21:

Örn22:


Örn24:



Örn26:

Örn27:

Örn28:

Örn29:

Örn30:

Örn31:


Örn32:

Örn33:

Örn34:


Örn35:

Örn36:


Örn37:

Örn38:

****Örn39:

Örn40:

Örn41:

SORULAR
Örn42:

Örn43:


***Örn45:

Yorumlar30
bunlar cok basit ya bizim hoca sınavda böyle sormuyor ki dosya yayınları matematik soru bankasından soruyo ve acayip zor soruları bunları yapmakta ne var ki:s :(
Yorumlarınızı Bekliyoruz
Yorum Yazın
Yorum Yapın